RF-DETR is a real-time, transformer-based object detection and instance segmentation model architecture developed by Roboflow and released under the Apache 2.0 license.
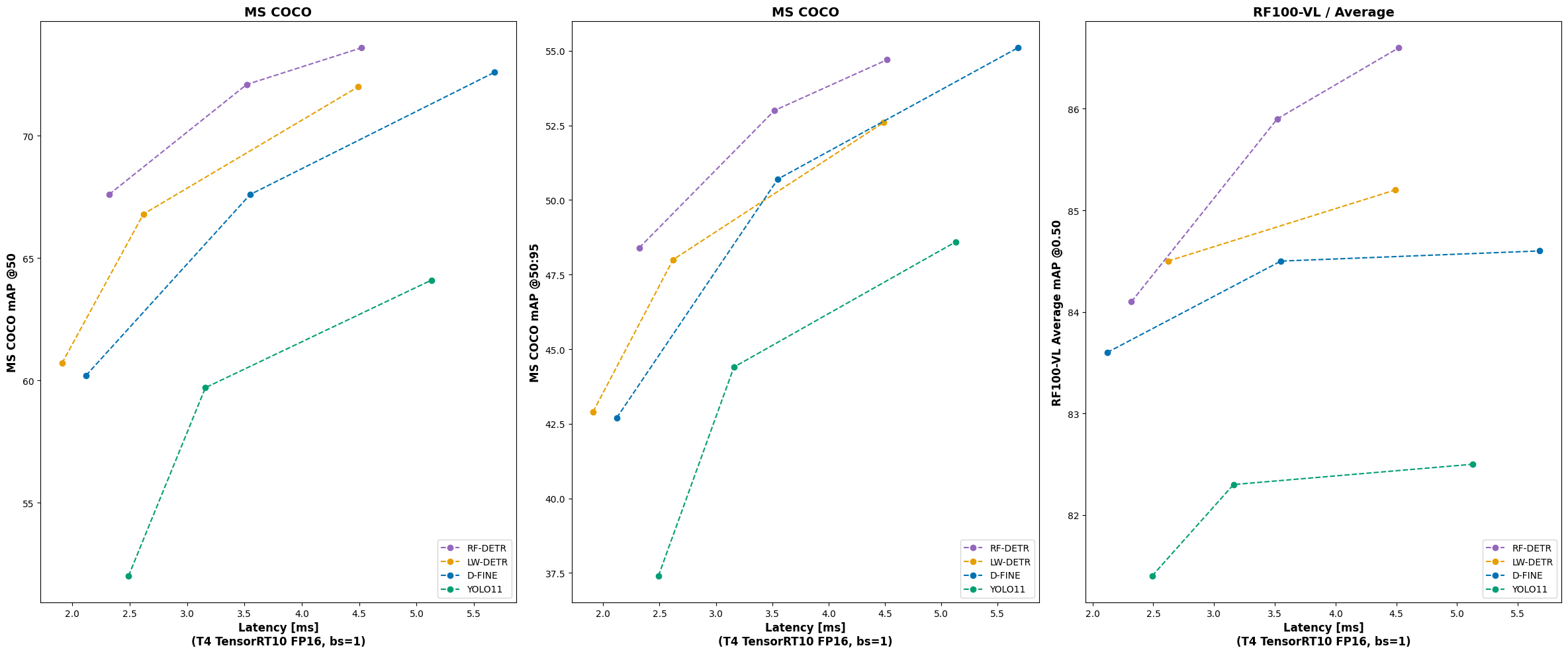
RF-DETR is the first real-time model to exceed 60 AP on the Microsoft COCO object detection benchmark alongside competitive performance at base sizes. It also achieves state-of-the-art performance on RF100-VL, an object detection benchmark that measures model domain adaptability to real world problems. RF-DETR is fastest and most accurate for its size when compared current real-time objection models.
On image segmentation, RF-DETR Seg (Preview) is 3x faster and more accurate than the largest YOLO when evaluated on the Microsoft COCO Segmentation benchmark, defining a new real-time state-of-the-art for the industry-standard benchmark in segmentation model evaluation.
2025/11/13: We release a paper representing our work on RF-DETR, RF-DETR: Neural Architecture Search for Real-Time Detection Transformers, on Arxiv.2025/10/02: We release RF-DETR-Seg (Preview), a preview of our instance segmentation head for RF-DETR.2025/07/23: We release three new checkpoints for RF-DETR: Nano, Small, and Medium.- RF-DETR Base is now deprecated. We recommend using RF-DETR Medium which offers subtantially better accuracy at comparable latency.
2025/05/16: We release an 'optimize_for_inference' method which speeds up native PyTorch by up to 2x, depending on platform.2025/04/03: We release early stopping, gradient checkpointing, metrics saving, training resume, TensorBoard and W&B logging support.2025/03/20: We release RF-DETR real-time object detection model. Code and checkpoint for RF-DETR-large and RF-DETR-base are available.
RF-DETR achieves state-of-the-art performance on both the Microsoft COCO and the RF100-VL benchmarks.
The below tables shows how RF-DETR performs when validated on the Microsoft COCO benchmark for object detection and image segmentation.
| Architecture | COCO AP50 | COCO AP50:95 | RF100VL AP50 | RF100VL AP50:95 | Latency (ms) | Params (M) | Resolution |
|---|---|---|---|---|---|---|---|
| RF-DETR-N | 67.6 | 48.4 | 84.1 | 57.1 | 2.32 | 30.5 | 384x384 |
| RF-DETR-S | 72.1 | 53.0 | 85.9 | 59.6 | 3.52 | 32.1 | 512x512 |
| RF-DETR-M | 73.6 | 54.7 | 86.6 | 60.6 | 4.52 | 33.7 | 576x576 |
| YOLO11-N | 52.0 | 37.4 | 81.4 | 55.3 | 2.49 | 2.6 | 640x640 |
| YOLO11-S | 59.7 | 44.4 | 82.3 | 56.2 | 3.16 | 9.4 | 640x640 |
| YOLO11-M | 64.1 | 48.6 | 82.5 | 56.5 | 5.13 | 20.1 | 640x640 |
| YOLO11-L | 65.3 | 50.2 | x | x | 6.65 | 25.3 | 640x640 |
| YOLO11-X | 66.5 | 51.2 | x | x | 11.92 | 56.9 | 640x640 |
| LW-DETR-T | 60.7 | 42.9 | x | x | 1.91 | 12.1 | 640x640 |
| LW-DETR-S | 66.8 | 48.0 | 84.5 | 58.0 | 2.62 | 14.6 | 640x640 |
| LW-DETR-M | 72.0 | 52.6 | 85.2 | 59.4 | 4.49 | 28.2 | 640x640 |
| D-FINE-N | 60.2 | 42.7 | 83.6 | 57.7 | 2.12 | 3.8 | 640x640 |
| D-FINE-S | 67.6 | 50.7 | 84.5 | 59.9 | 3.55 | 10.2 | 640x640 |
| D-FINE-M | 72.6 | 55.1 | 84.6 | 60.2 | 5.68 | 19.2 | 640x640 |
See our benchmark notes in the RF-DETR documentation.
We are actively working on RF-DETR Large and X-Large models using the same techniques we used to achieve the strong accuracy that RF-DETR Medium attains. This is why RF-DETR Large and X-Large is not yet reported on our pareto charts and why we haven't benchmarked other models at similar sizes. Check back in the next few weeks for the launch of new RF-DETR Large and X-Large models.
| Model Name | Reported Latency | Reported mAP | Measured Latency | Measured mAP |
|---|---|---|---|---|
| RF-DETR Seg-Preview@312 | 3.3 | 39.4 | ||
| YOLO11n-Seg | 1.8 | 32.0 | 3.6 | 30.0 |
| YOLOv8n-Seg | 30.5 | 3.5 | 28.3 | |
| RF-DETR Seg-Preview@384 | 4.5 | 42.7 | ||
| YOLO11s-Seg | 2.9 | 37.8 | 4.6 | 35.0 |
| YOLOv8s-Seg | 36.8 | 4.2 | 34.0 | |
| RF-DETR Seg-Preview@432 | 5.6 | 44.3 | ||
| YOLO11m-Seg | 6.3 | 41.5 | 6.9 | 38.5 |
| YOLOv8m-Seg | 40.8 | 7.0 | 37.3 | |
| YOLO11l-Seg | 7.8 | 42.9 | 8.3 | 39.5 |
| YOLOv8l-Seg | 42.6 | 9.7 | 39.0 | |
| YOLO11x-Seg | 15.8 | 43.8 | 13.7 | 40.1 |
| YOLOv8x-Seg | 43.4 | 14.0 | 39.5 |
For more information on measuring end-to-end latency for models, see our open source Single Artifact Benchmarking tool.
To install RF-DETR, install the rfdetr package in a Python>=3.9 environment with pip:
pip install rfdetrInstall from source
By installing RF-DETR from source, you can explore the most recent features and enhancements that have not yet been officially released. Please note that these updates are still in development and may not be as stable as the latest published release.
pip install git+https://github.com/roboflow/rf-detr.gitThe easiest path to deployment is using Roboflow's Inference package.
The code below lets you run rfdetr-base on an image:
import os
import supervision as sv
from inference import get_model
from PIL import Image
from io import BytesIO
import requests
url = "https://media.roboflow.com/dog.jpeg"
image = Image.open(BytesIO(requests.get(url).content))
model = get_model("rfdetr-base")
predictions = model.infer(image, confidence=0.5)[0]
detections = sv.Detections.from_inference(predictions)
labels = [prediction.class_name for prediction in predictions.predictions]
annotated_image = image.copy()
annotated_image = sv.BoxAnnotator(color=sv.ColorPalette.ROBOFLOW).annotate(annotated_image, detections)
annotated_image = sv.LabelAnnotator(color=sv.ColorPalette.ROBOFLOW).annotate(annotated_image, detections, labels)To use segmentation, use the rfdetr-seg-preview model ID. This model will return segmentation masks from a RF-DETR-Seg (Preview) model trained on the Microsoft COCO dataset.
You can also use the .predict method to perform inference during local development. The .predict() method accepts various input formats, including file paths, PIL images, NumPy arrays, and torch tensors. Please ensure inputs use RGB channel order. For torch.Tensor inputs specifically, they must have a shape of (3, H, W) with values normalized to the [0..1) range. If you don't plan to modify the image or batch size dynamically at runtime, you can also use .optimize_for_inference() to get up to 2x end-to-end speedup, depending on platform.
import io
import requests
import supervision as sv
from PIL import Image
from rfdetr import RFDETRBase
from rfdetr.util.coco_classes import COCO_CLASSES
model = RFDETRBase()
model.optimize_for_inference()
url = "https://media.roboflow.com/notebooks/examples/dog-2.jpeg"
image = Image.open(io.BytesIO(requests.get(url).content))
detections = model.predict(image, threshold=0.5)
labels = [
f"{COCO_CLASSES[class_id]} {confidence:.2f}"
for class_id, confidence
in zip(detections.class_id, detections.confidence)
]
annotated_image = image.copy()
annotated_image = sv.BoxAnnotator().annotate(annotated_image, detections)
annotated_image = sv.LabelAnnotator().annotate(annotated_image, detections, labels)
sv.plot_image(annotated_image)You can fine-tune an RF-DETR Nano, Small, Medium, and Base model with a custom dataset using the rfdetr Python package.
Learn how to train an RF-DETR model.
Visit our documentation website to learn more about how to use RF-DETR.
Both the code and the weights pretrained on the COCO dataset are released under the Apache 2.0 license.
Our work is built upon LW-DETR, DINOv2, and Deformable DETR. Thanks to their authors for their excellent work!
If you find our work helpful for your research, please consider citing the following BibTeX entry.
@misc{rf-detr,
title={RF-DETR: Neural Architecture Search for Real-Time Detection Transformers},
author={Isaac Robinson and Peter Robicheaux and Matvei Popov and Deva Ramanan and Neehar Peri},
year={2025},
eprint={2511.09554},
archivePrefix={arXiv},
primaryClass={cs.CV},
url={https://arxiv.org/abs/2511.09554},
}We welcome and appreciate all contributions! If you notice any issues or bugs, have questions, or would like to suggest new features, please open an issue or pull request. By sharing your ideas and improvements, you help make RF-DETR better for everyone.



